近日,《物理评论快报》(Physical Review Letters)上以Article形式发表了我Spin-Orbit Mott Insulator in Fractional Valence Iridate 校研究成果“Orbital-Selective La3Ir3O11”,首次在分数价态铱氧化物La3Ir3O11中发现轨道选择性自旋轨道Mott绝缘态,将自旋轨道Mott绝缘体从传统的半满填充情形拓展至更广泛的分数价态体系。

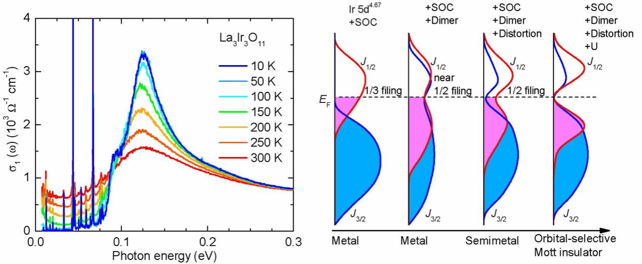
La3Ir3O11中的光学激发特征和轨道选择性Mott绝缘态的形成示意图
在强关联电子体系中,Mott绝缘态是电子关联效应最典型的体现,其形成通常建立在半满填充单带模型的基础上。按照传统理解,当体系发生显著电子或空穴掺杂、偏离半满填充条件时,载流子将迅速破坏电子局域化,导致Mott绝缘态坍塌并转变为金属态。因此,一个有待检验的问题是:Mott绝缘态能否在非半满填充的分数价态条件下稳定存在?
针对这一重要科学问题,王凯教授及其合作者采用红外光谱实验结合第一性原理计算,系统研究了分数价态铱氧化物La3Ir3O11的电子结构与低能激发行为。实验结果表明,尽管La3Ir3O11相对于典型自旋轨道Mott绝缘体存在1/3的有效空穴掺杂,其基态仍表现出稳健的绝缘特性。理论分析进一步指出,这一非常规绝缘态源于多种物理机制的协同作用,包括:强自旋轨道耦合、Ir-Ir二聚化效应、晶格畸变以及电子关联效应。上述因素共同驱动体系进入一种轨道选择性电子态:其中,Jeff=1/2能带被推至接近半满填充并发生Mott转变,而Jeff=3/2能带则形成带隙背景,两种能隙的共存与协同作用稳定了分数价态下的绝缘基态。这一发现将自旋轨道Mott绝缘体从传统的5d5情形拓展至更广泛的分数价态体系,为在多轨道强关联材料中探索和调控新型量子关联相提供了新的研究路径。
本项研究工作由麻豆在线王凯特聘教授与中国科学院物理研究所许兵特聘研究员、天津大学赵建洲教授、南京大学戴耀民教授课题组合作完成。麻豆在线
为论文第一完成单位,王凯教授为论文第一作者和第一通讯作者。该研究得到国家自然科学基金委、科技部重点研发计划项目和中国科学院的大力支持。
论文链接://doi.org/10.1103/24vx-xm5d